Is vowel duration the product of gestural timing alone? Data from Northwestern Italian

Stefano Coretta

University of Edinburgh

Intrinsic vowel duration

High vowels tend to be shorter than low vowels.

American English in Lieberman and Kubaska 1979, Turk et al. 1994, Tauberer and Evanini 2009, Toivonen et al. 2015, Wilson and Chodroff 2017; Dutch in Bundgaard 1980; Swedish in Toivonen et al. 2015.

Source of intrinsic vowel duration

Figure 1: Distance to target (Turk et al. 1994)
Figure 2: Phonologisation (Toivonen et al. 2015)

Source of intrinsic vowel duration

Turk et al. 1994

  • American English
  • 1 speaker
  • /e, ɛ, æ, ɑ, ʌ/

Toivonen et al 2015

  • “English”
    • 3 speakers
    • miss mess mass bit bet bat
  • “Swedish”
    • 2 speakers
    • missa messa massa

Correlation between distance to target and vowel duration.

No within-vowel correlation between F1 and vowel duration.

Hypotheses


(a) Distance to target: The effect of vowel should be 0 (Turk et al. 1994).

(b) Phonologisation: The effect of F1 should be 0 (Toivonen et al. 2015).

(c) Hybrid: There should be both an effect of vowel and F1.

Methods

  • Pre-existing acoustic data: https://osf.io/xdgfz/.

  • 19 speakers of Northwestern Italian (Verbano-Cusio-Ossola).

  • CVCo words (mostly nonce, some real), in 5 frame sentences.

    • C = /p, t, k/, all permutations.

    • V = /a, e, i, ɔ, u/.

    • ~855 tokens per vowel.

  • Vowel duration: from appearance of F2/3 to disappearance of F2/3.

  • F1/F2 measurements from FastTrack (Barreda 2021).

  • Causal Inference (McElreath 2019).

  • Bayesian model fitted with brms (Bürkner 2017, 2018, 2021) in R (R Core Team 2024).

duration_logz ~ vowel + s(f13_z, k = 5) + s(f13_z, speaker, by = vowel)

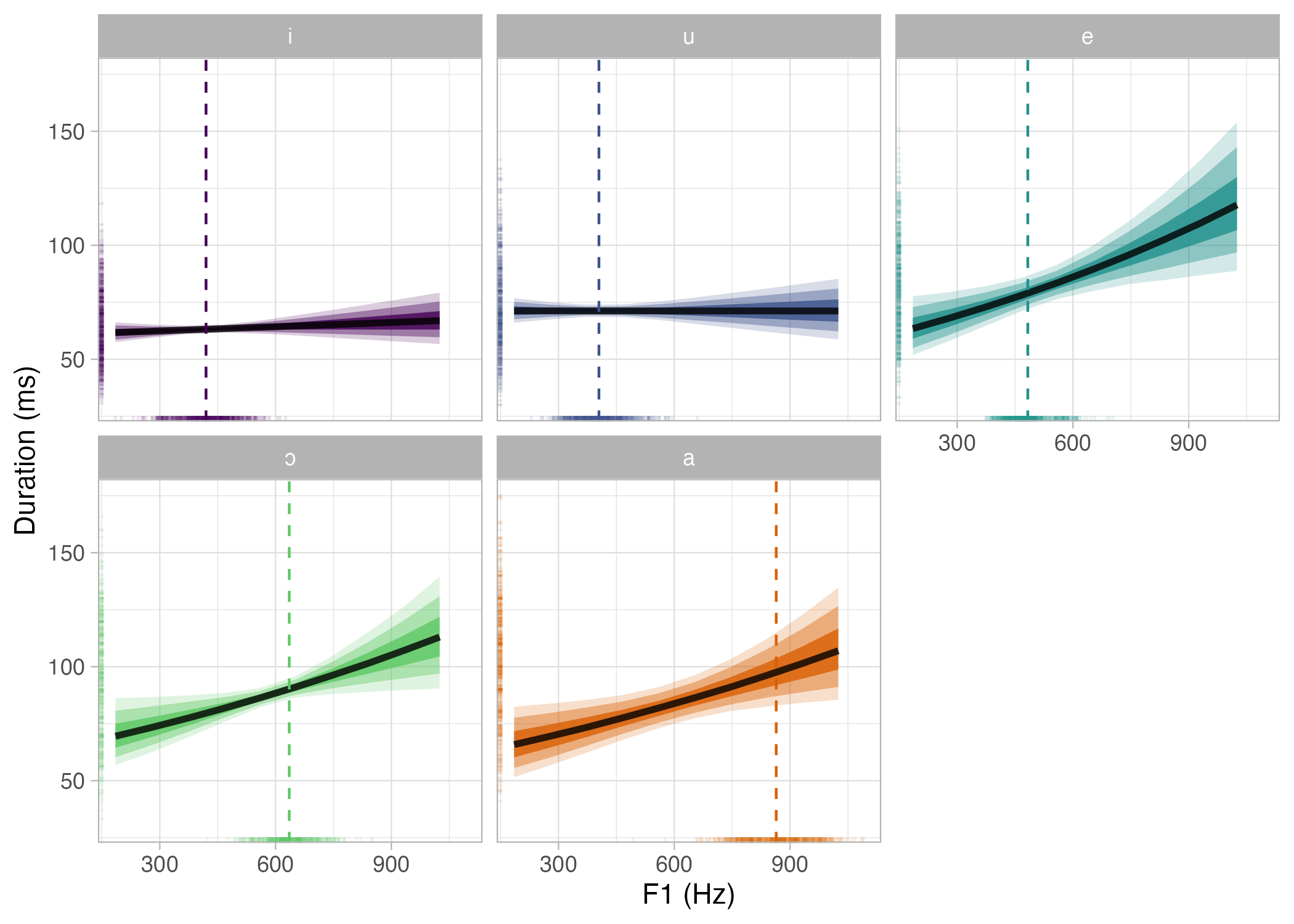
Results

Interpretation

  • There is a robust effect of F1 and the effect is non-linear.

    • Negative up to 400 Hz, positive from 450 Hz.
  • There is a robust effect of vowel.

    • F1 alone is not sufficient to explain vowel duration.

The results are compatible with (c) Hybrid hypothesis.

This means that:

  • Each vowel must have its own duration target.

  • Within each vowel category, distance to target further modulates duration.

The end


Vi rringrazziu! (Calabrese)

A va ringrazi a tücc! (Lombard)


Research compendium: https://github.com/stefanocoretta/vow-height.

Submitted manuscript: https://osf.io/preprints/osf/83afz.

Bibliography: https://stefanocoretta.github.io/biblio/.

APPENDIX

Linear modelling

Distance to target

From Ladefoged 1996

Phonologisation

Phonologisation

When the speaker gains control over a mechanical/physiological process (and the process “enters the phonetics” of the language).

–Bermúdez-Otero 2013

Process scattering

Process scattering

Process (or rule) scattering is the scenario by which a process coexists in multiple levels of the language.

–Bermúdez-Otero 2013

Process scattering (revised)

Process scattering is the scenario by which two versions of the same process coexist in the language, either in the same level or in consecutive levels.