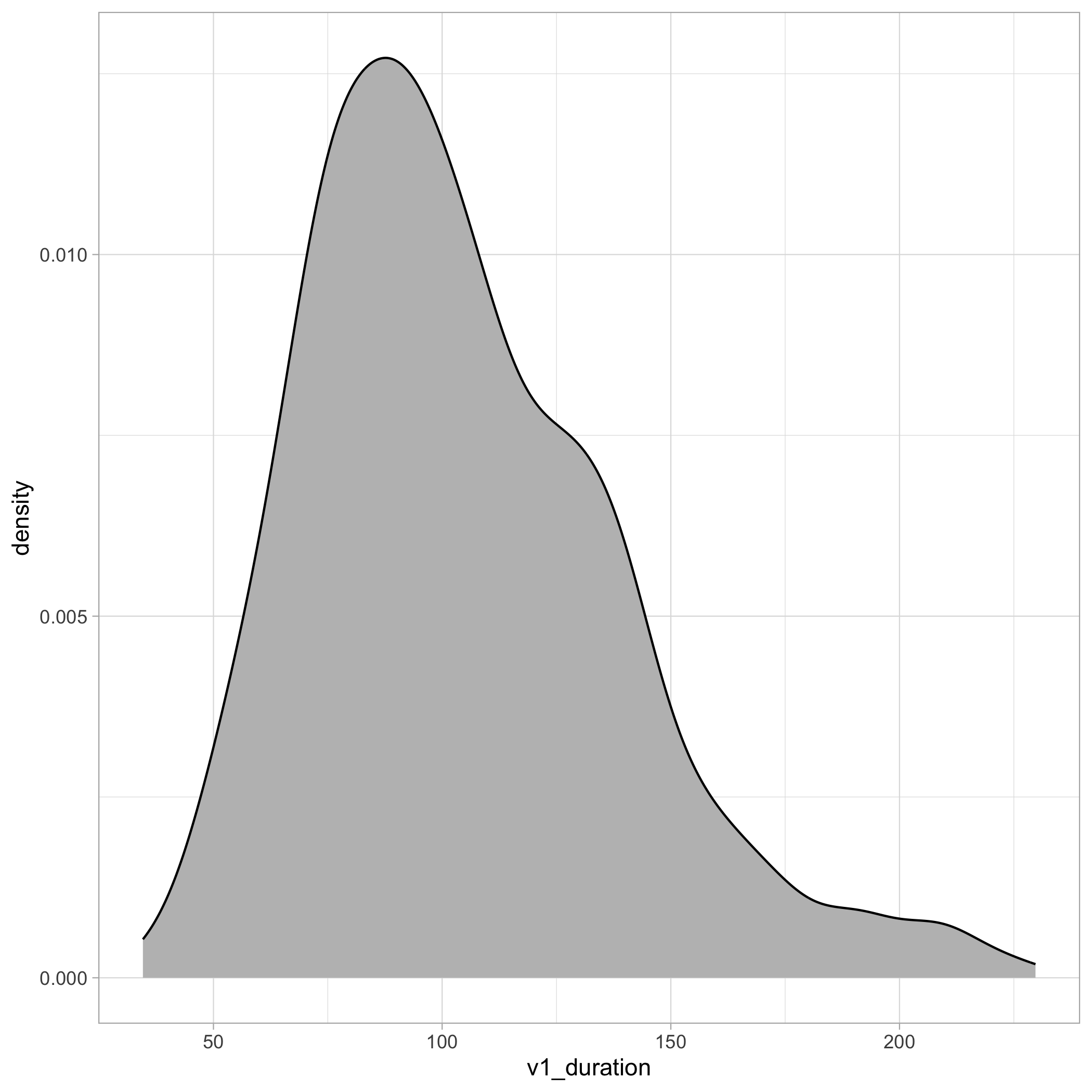
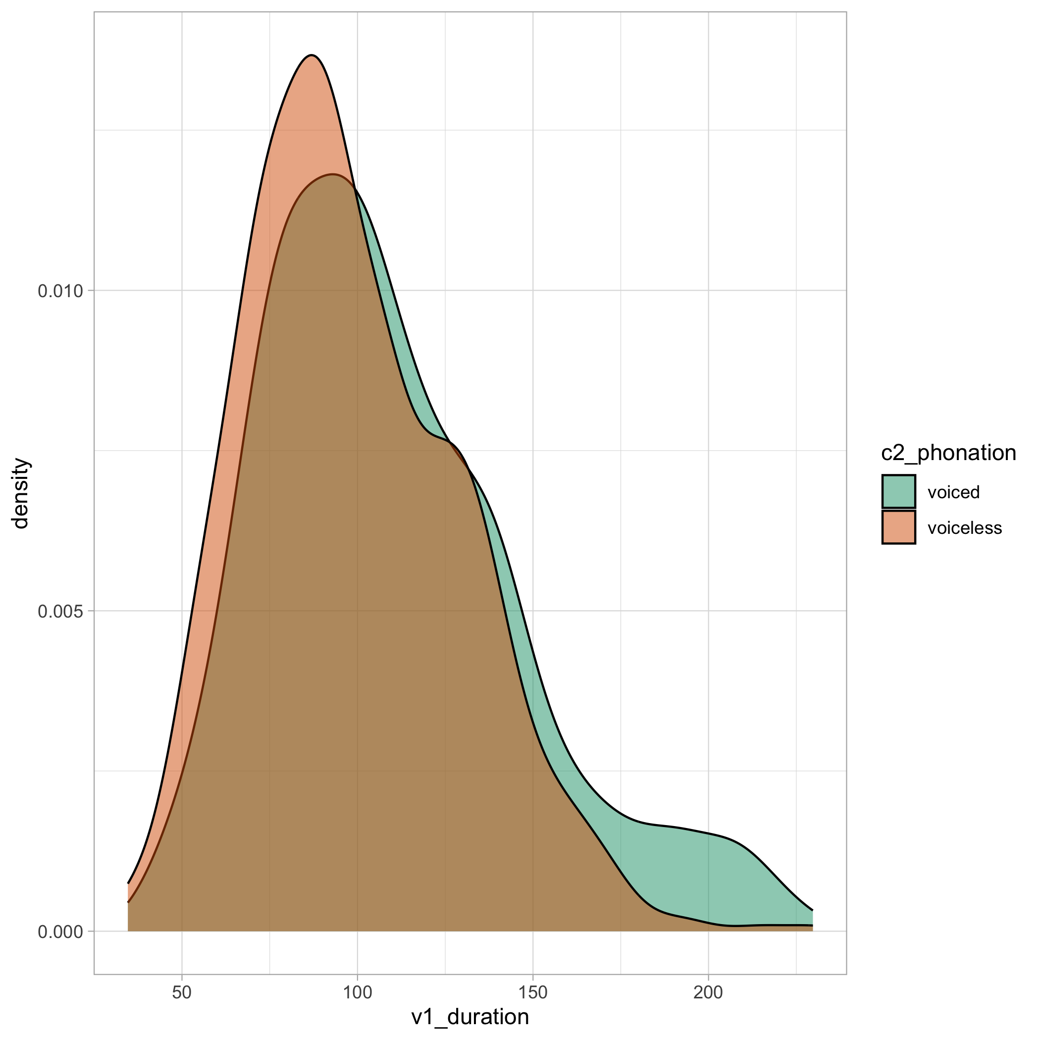
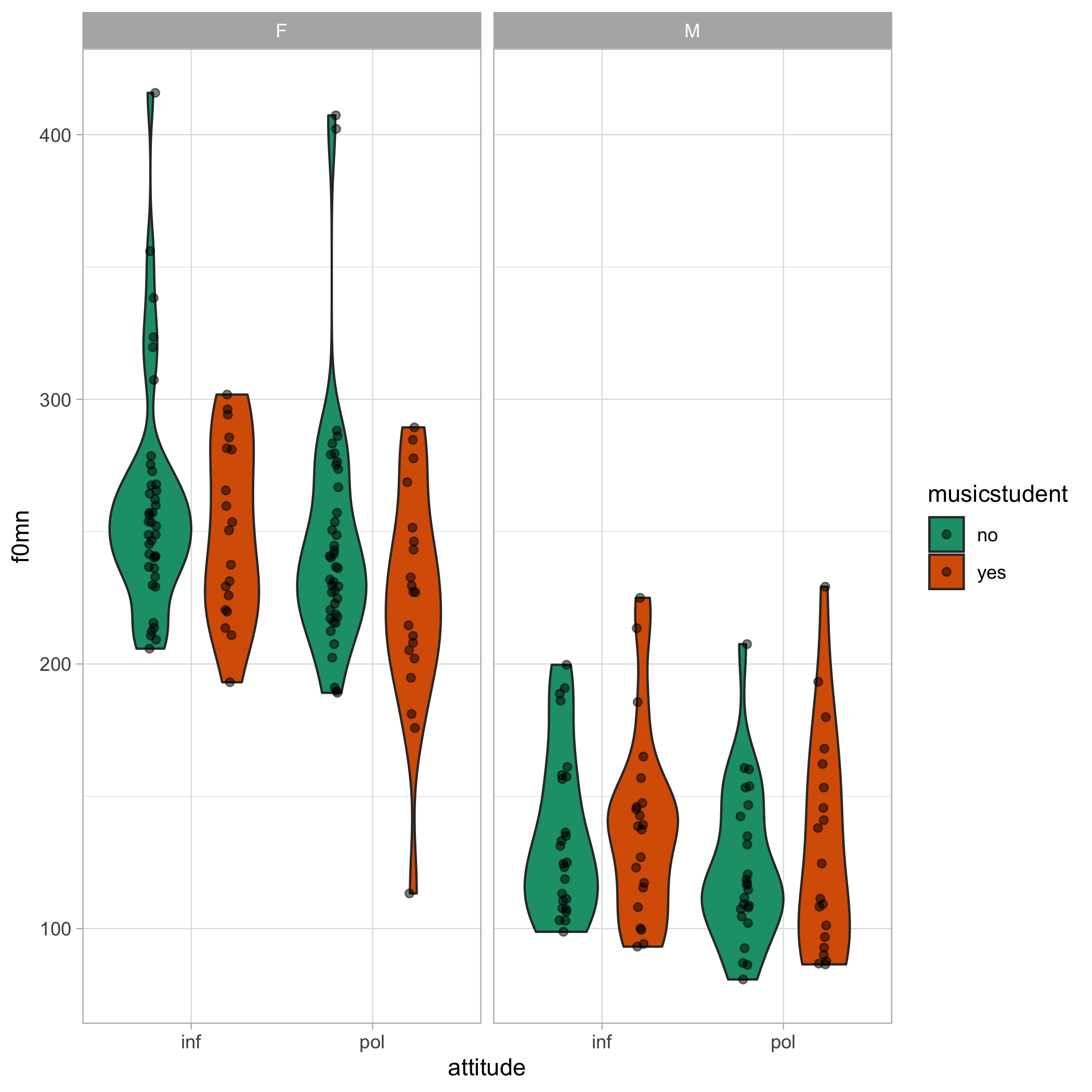
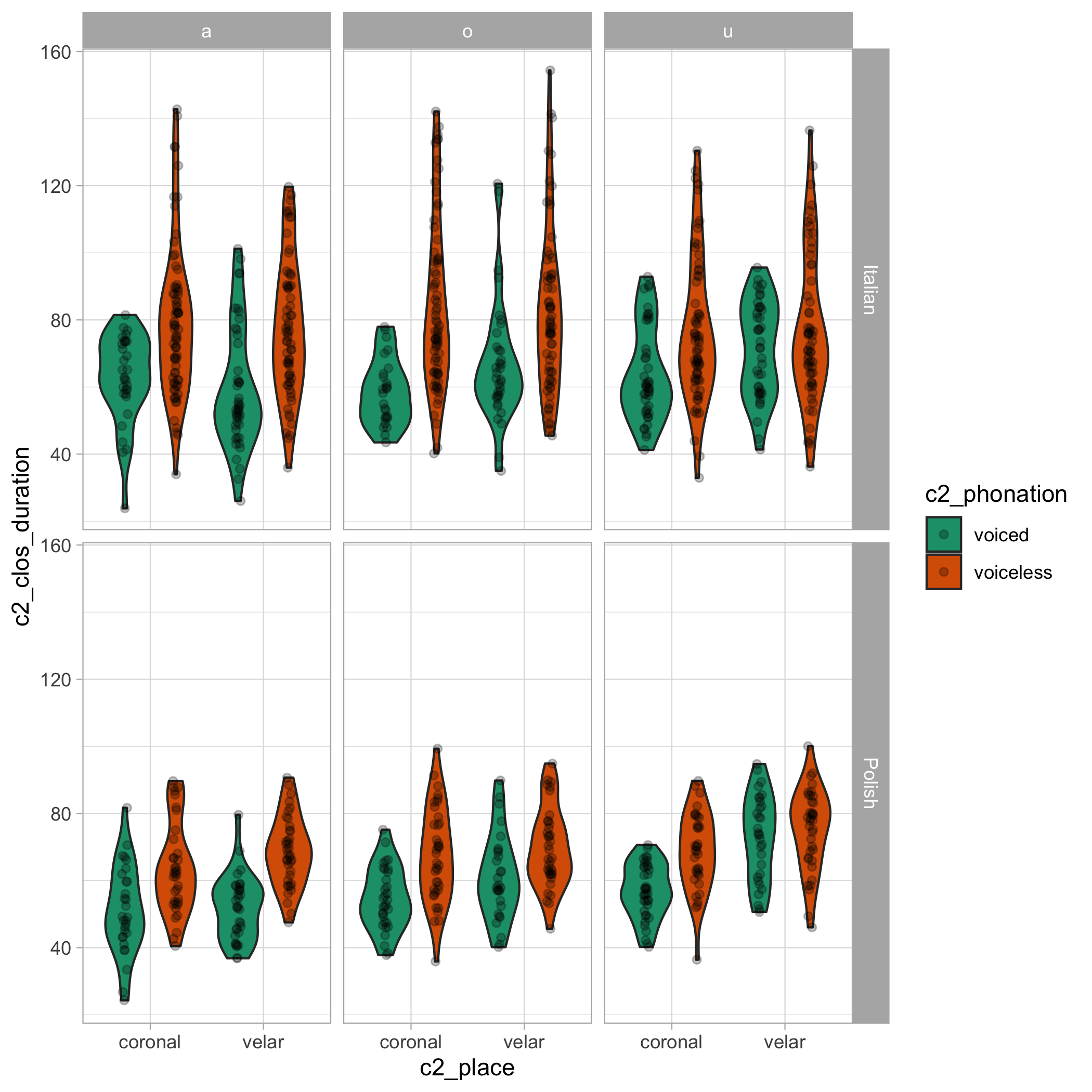
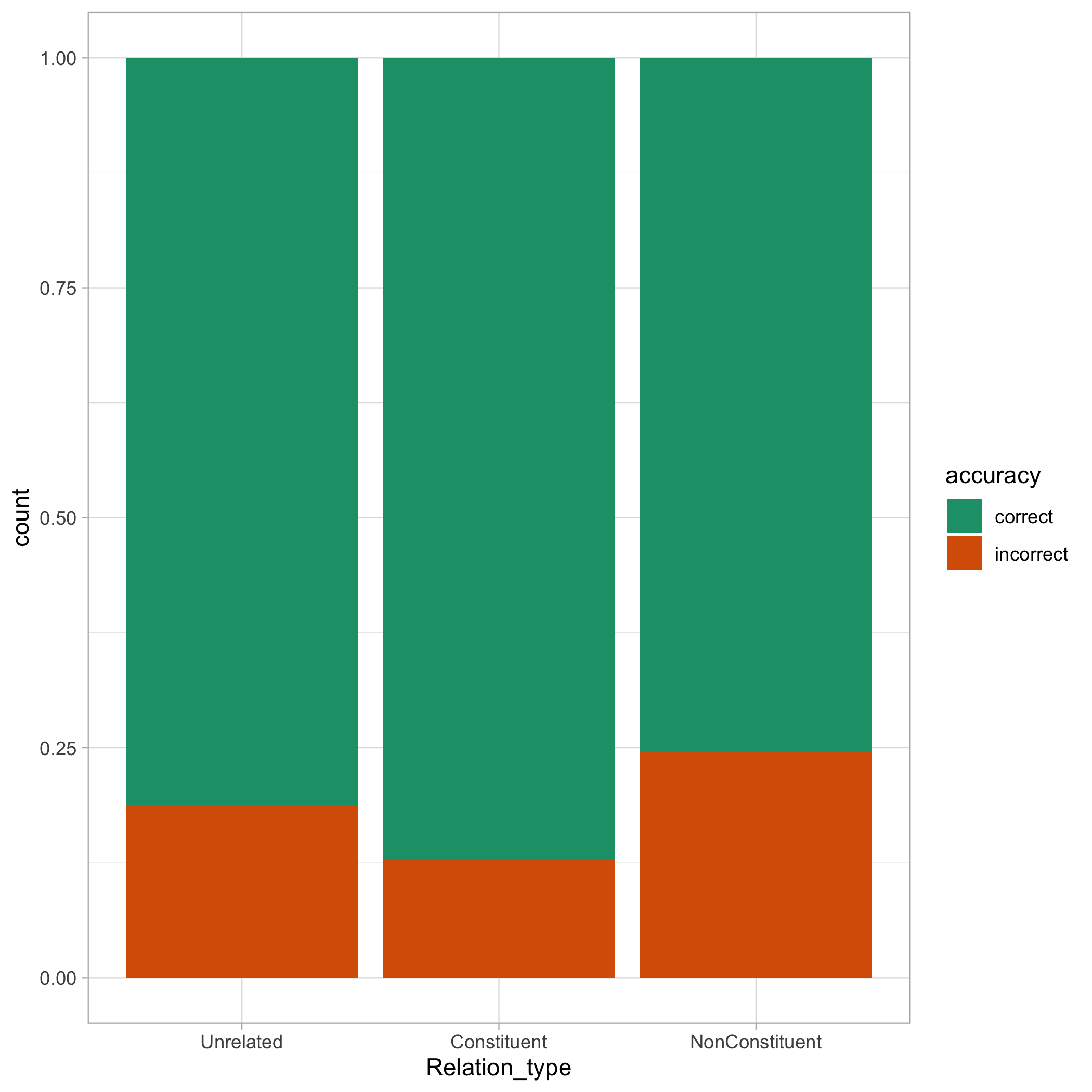
class: center, middle, inverse, title-slide .title[ # Statistics and Quantitative Methods (S1) ] .subtitle[ ## Week 10 ] .author[ ### Dr Stefano Coretta ] .institute[ ### University of Edinburgh ] .date[ ### 2022/11/23 ] --- # Before we begin... .pull-left[ .f3[Complete the post-course **SATS-36 questionnaire**.] .f3[https://www.soscisurvey.de/sqmf-sats/] ] .pull-right[ .center[  ] ] --- layout: true ## Example of plotting --- .pull-left[ One continuous variable: density ```r dur_ita_pol %>% ggplot(aes(v1_duration)) + geom_density(fill = "gray") ``` ] .pull-right[  ] --- .pull-left[ One continuous variable: density (with categorical variable) ```r dur_ita_pol %>% ggplot( aes(v1_duration, fill = c2_phonation) ) + geom_density(alpha = 0.5) ``` ] .pull-right[  ] --- .pull-left[ Two continuous variables ```r dur_ita_pol %>% ggplot(aes(speech_rate_c, v1_duration)) + geom_point(alpha = 0.5) + geom_smooth(method = "glm") ``` ] .pull-right[  ] --- .pull-left[ Two continuous variables and one categorical variable ```r dur_ita_pol %>% ggplot( aes(speech_rate_c, v1_duration, colour = vowel) ) + geom_point(alpha = 0.5) + geom_smooth(method = "glm") ``` ] .pull-right[  ] --- .pull-left[ Two continuous variables and one categorical variable ```r dur_ita_pol %>% ggplot(aes(speech_rate_c, v1_duration)) + geom_point(alpha = 0.5) + geom_smooth(method = "glm", aes(colour = vowel)) + facet_grid(~ vowel) ``` ] .pull-right[  ] --- .pull-left[ One continuous variable and one categorical variable ```r polite %>% ggplot(aes(attitude, f0mn)) + geom_jitter(width = 0.2) ``` ] .pull-right[  ] --- .pull-left[ One continuous variable and two categorical variables ```r polite %>% ggplot(aes(attitude, f0mn, colour = musicstudent)) + geom_point( position = position_jitterdodge( jitter.width = 0.2, dodge.width = 0.8 ) ) ``` ] .pull-right[  ] --- .pull-left[ One continuous variable and three categorical variables ```r polite %>% ggplot(aes(attitude, f0mn, colour = musicstudent)) + geom_point( position = position_jitterdodge( jitter.width = 0.2, dodge.width = 0.8) ) + facet_grid(~ gender) ``` ] .pull-right[  ] --- .pull-left[ One continuous variable and three categorical variables ```r polite %>% ggplot(aes(attitude, f0mn, fill = musicstudent)) + geom_violin() + geom_point( position = position_jitterdodge( jitter.width = 0.05, dodge.width = 0.85 ), alpha = 0.5 ) + facet_grid(~ gender) ``` ] .pull-right[  ] --- .pull-left[ One continuous variable and four categorical variables ```r dur_ita_pol %>% ggplot(aes(c2_place, c2_clos_duration, fill = c2_phonation)) + geom_violin() + geom_point( position = position_jitterdodge( jitter.width = 0.05, dodge.width = 0.9 ), alpha = 0.25 ) + facet_grid(language ~ vowel) ``` ] .pull-right[  ] --- .pull-left[ One categorical variable ```r shallow %>% ggplot(aes(accuracy)) + geom_bar() ``` ] .pull-right[  ] --- .pull-left[ Two categorical variables ```r shallow %>% ggplot(aes(Relation_type, fill = accuracy)) + geom_bar(position = "fill") ``` ] .pull-right[  ] --- layout: false layout: true ## Random effects --- ```r vdur_lm <- lmer( v1_duration ~ c2_phonation * language * vowel + (c2_phonation + vowel | speaker), data = dur_ita_pol ) ``` --- ```r summary(vdur_lm) ``` ``` ## Linear mixed model fit by REML ['lmerMod'] ## Formula: v1_duration ~ c2_phonation * language * vowel + (c2_phonation + ## vowel | speaker) ## Data: dur_ita_pol ## ## REML criterion at convergence: 10933 ## ## Scaled residuals: ## Min 1Q Median 3Q Max ## -3.6527 -0.6561 -0.0263 0.6067 6.1645 ## ## Random effects: ## Groups Name Variance Std.Dev. Corr ## speaker (Intercept) 732.08 27.057 ## c2_phonationvoiceless 39.61 6.293 -0.70 ## vowelo 13.07 3.615 -0.71 0.42 ## vowelu 130.92 11.442 -0.85 0.69 0.89 ## Residual 200.35 14.154 ## Number of obs: 1334, groups: speaker, 17 ## ## Fixed effects: ## Estimate Std. Error t value ## (Intercept) 133.6327 8.2426 16.212 ## c2_phonationvoiceless -18.1114 2.5143 -7.203 ## languagePolish -36.8572 13.8792 -2.656 ## vowelo -6.0062 1.9754 -3.041 ## vowelu -38.4740 3.8691 -9.944 ## c2_phonationvoiceless:languagePolish 7.8240 4.2711 1.832 ## c2_phonationvoiceless:vowelo 0.7617 2.3139 0.329 ## c2_phonationvoiceless:vowelu 15.6596 2.3682 6.612 ## languagePolish:vowelo -6.6717 3.3753 -1.977 ## languagePolish:vowelu 10.3132 6.4897 1.589 ## c2_phonationvoiceless:languagePolish:vowelo 1.7298 3.9918 0.433 ## c2_phonationvoiceless:languagePolish:vowelu -10.8941 4.0236 -2.708 ## ## Correlation of Fixed Effects: ## (Intr) c2_phn lnggPl vowelo vowelu ## c2_phntnvcl -0.587 ## languagPlsh -0.594 0.349 ## vowelo -0.474 0.446 0.281 ## vowelu -0.790 0.606 0.469 0.618 ## c2_phntnv:P 0.346 -0.589 -0.585 -0.263 -0.357 ## c2_phonationvoiceless:vowelo 0.071 -0.461 -0.042 -0.589 -0.151 ## c2_phonationvoiceless:vowelu 0.069 -0.448 -0.041 -0.287 -0.302 ## languagePolish:vowelo 0.277 -0.261 -0.470 -0.585 -0.361 ## languagePolish:vowelu 0.471 -0.362 -0.794 -0.368 -0.596 ## c2_phonationvoiceless:languagePolish:vowelo -0.041 0.267 0.072 0.341 0.087 ## c2_phonationvoiceless:languagePolish:vowelu -0.040 0.264 0.072 0.169 0.178 ## c2_p:P c2_phonationvoiceless:vowelo ## c2_phntnvcl ## languagPlsh ## vowelo ## vowelu ## c2_phntnv:P ## c2_phonationvoiceless:vowelo 0.271 ## c2_phonationvoiceless:vowelu 0.264 0.489 ## languagePolish:vowelo 0.450 0.345 ## languagePolish:vowelu 0.610 0.090 ## c2_phonationvoiceless:languagePolish:vowelo -0.469 -0.580 ## c2_phonationvoiceless:languagePolish:vowelu -0.464 -0.288 ## c2_phonationvoiceless:vowelu ## c2_phntnvcl ## languagPlsh ## vowelo ## vowelu ## c2_phntnv:P ## c2_phonationvoiceless:vowelo ## c2_phonationvoiceless:vowelu ## languagePolish:vowelo 0.168 ## languagePolish:vowelu 0.180 ## c2_phonationvoiceless:languagePolish:vowelo -0.283 ## c2_phonationvoiceless:languagePolish:vowelu -0.589 ## languagePolish:vowelo ## c2_phntnvcl ## languagPlsh ## vowelo ## vowelu ## c2_phntnv:P ## c2_phonationvoiceless:vowelo ## c2_phonationvoiceless:vowelu ## languagePolish:vowelo ## languagePolish:vowelu 0.617 ## c2_phonationvoiceless:languagePolish:vowelo -0.594 ## c2_phonationvoiceless:languagePolish:vowelu -0.296 ## languagePolish:vowelu ## c2_phntnvcl ## languagPlsh ## vowelo ## vowelu ## c2_phntnv:P ## c2_phonationvoiceless:vowelo ## c2_phonationvoiceless:vowelu ## languagePolish:vowelo ## languagePolish:vowelu ## c2_phonationvoiceless:languagePolish:vowelo -0.155 ## c2_phonationvoiceless:languagePolish:vowelu -0.309 ## c2_phonationvoiceless:languagePolish:vowelo ## c2_phntnvcl ## languagPlsh ## vowelo ## vowelu ## c2_phntnv:P ## c2_phonationvoiceless:vowelo ## c2_phonationvoiceless:vowelu ## languagePolish:vowelo ## languagePolish:vowelu ## c2_phonationvoiceless:languagePolish:vowelo ## c2_phonationvoiceless:languagePolish:vowelu 0.497 ``` --- ```r shal <- shallow %>% filter(Branching == "Left") %>% mutate(accuracy = factor(accuracy, levels = c("incorrect", "correct"))) shal_lm <- glmer( accuracy ~ Group * Relation_type + (Relation_type | ID) + (Relation_type + Group| Target), data = shal, family = binomial(), # Using optimx optimiser. optimx package must be installed control = glmerControl( optimizer = "optimx", calc.derivs = FALSE, optCtrl = list(method = "bobyqa") ) ) ``` --- ```r # Doing this because the full summary does not fit on the slide out <- summary(shal_lm) %>% capture.output() cat(out[18:27], sep = "\n") ``` ``` ## Random effects: ## Groups Name Variance Std.Dev. Corr ## ID (Intercept) 0.58150 0.7626 ## Relation_typeConstituent 0.13742 0.3707 1.00 ## Relation_typeNonConstituent 0.10094 0.3177 1.00 1.00 ## Target (Intercept) 1.58226 1.2579 ## Relation_typeConstituent 0.02427 0.1558 -0.67 ## Relation_typeNonConstituent 0.19840 0.4454 -0.72 1.00 ## GroupL2 0.34159 0.5845 -0.14 -0.45 -0.40 ## Number of obs: 1170, groups: ID, 65; Target, 18 ``` --- layout: false class: center middle reverse # QUESTIONS?